Click on the links below.
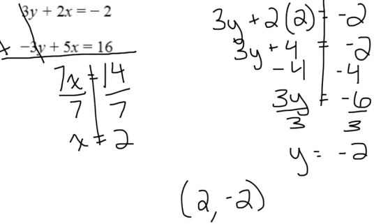
1. Part 1: When adding the two equations one variable is eliminated.

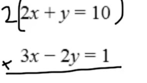
2. Part 2: Multiply the entire equation by a negative so that the x's are eliminated!

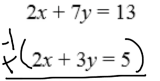
3. Part 3: Multiply by a constant to eliminate the y variable.

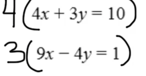
4. Part 4: Multiply both equations by a constant to eliminate a variable.
